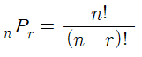
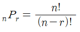
순열이란?
- 순열이란 서로 다른 n개중에 r개를 선택하는 경우의 수를 의미한다. (순서 상관 있음)
- 1, 2, 3이라는 수들의 집합이 있을 때
- {1, 2, 3}, {1, 3, 2}, {2, 1, 3}, {2, 3, 1}, {3, 1, 2}, {3, 2, 1} 이렇게 6가지 순열이 나온다.
n P r이란, 쉽게 말해 n개중에 r개로 이루어진 수열을 만든다는 뜻.
프로그램에서 구현 방법은?
- do-while문을 이용한 구현
#include <iostream>
#include <algorithm>
#include <string>
#include <vector>
template<typename T>
void print(const T& container)
{
for (auto e : container)
std::cout << e << " ";
std::cout << std::endl;
}
int main()
{
std::vector<int> v{ 1, 2, 3, 4, 5 };
do
{
print(v);
} while (std::next_permutation(std::begin(v), std::end(v)));
}
- std::next_permutation(begin, end)를 통해 v내의 원소를 섞어주고 모든 순열을 순회
- 재귀 함수를 이용한 구현
#include <iostream>
#include <algorithm>
#include <string>
#include <vector>
template<typename T>
void print(const T& container)
{
for (auto e : container)
std::cout << e << " ";
std::cout << std::endl;
}
std::vector<int> v{ 1, 2, 3 };
void makePermutation(int n, int r, int depth)
{
if (r == depth)
{
print(v);
return;
}
for (int i = depth; i < n; i++)
{
std::swap(v[i], v[depth]);
makePermutation(n, r, depth + 1);
std::swap(v[i], v[depth]);
}
return;
}
int main()
{
makePermutation(3, 3, 0);
//do
//{
// print(v);
//} while (std::next_permutation(std::begin(v), std::end(v)));
}
- 재귀 함수의 흐름은 반드시 2번 이상 도식화 연습을 해야 한다.
'자료구조와 알고리즘 > [Inflearn_큰돌] 10주 완성 C++ 코딩테스트' 카테고리의 다른 글
1주차-2. 10988번 팰린드롬인지 확인하기 (2) | 2022.09.13 |
---|---|
1주차-1. 2979번 트럭 주차, 카운팅 배열에 대한 개념 (0) | 2022.09.12 |
1주차-0. 기초 개념 : 개념 강의 (0) | 2022.09.04 |
0주차-3. 기초 개념 : 조합(Combination) (0) | 2022.09.03 |
0주차-1. 기초 개념 : 재귀함수 (0) | 2022.09.01 |
댓글